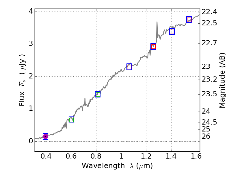
RXS0603+42-N IR detection object #2282

Color images and BPZ results
Catalog: 2282.cat
Black segments are analyzed here.   Roll mouse over color images to view segments.
Best viewed in a wide browser window (1200 pixels or more).   Download SED & P(z) plots to view larger versions.
In P(z) plots: Yellow lines mark the cluster redshift z = 0.228,  

Object #2282   x,y = (4753, 2807)   RA, Dec = (06:03:01.968, 42:16:06.24) = (90.75820, 42.26840)   BPZ = 0.423 [0.051--0.865]   type = 6.00 (Sbc_B10)   stellarity = 0.67   chisq2 = 990.00   ODDS = 0.20   z_cluster = 0.228