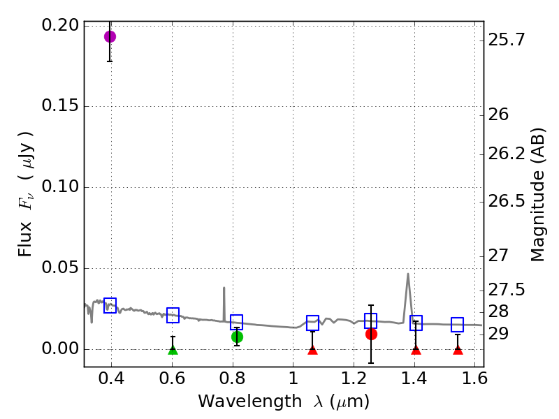
RXS0603+42-N IR detection object #2276

Color images and BPZ results
Catalog: 2276.cat
Black segments are analyzed here.   Roll mouse over color images to view segments.
Best viewed in a wide browser window (1200 pixels or more).   Download SED & P(z) plots to view larger versions.
In P(z) plots: Yellow lines mark the cluster redshift z = 0.228,  

Object #2276   x,y = (2623, 2806)   RA, Dec = (06:03:13.488, 42:16:05.88) = (90.80620, 42.26830)   BPZ = 1.763 [0.885--2.311]   type = 11.00 (SB11_A_0_l)   stellarity = 0.59   chisq2 = 31.01   ODDS = 0.38   z_cluster = 0.228