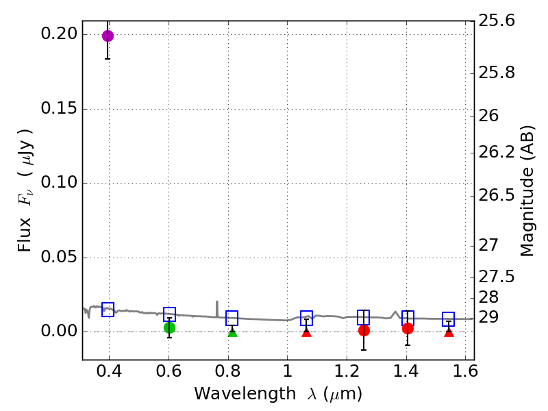
RXS0603+42-N IR detection object #2272

Color images and BPZ results
Catalog: 2272.cat
Black segments are analyzed here.   Roll mouse over color images to view segments.
Best viewed in a wide browser window (1200 pixels or more).   Download SED & P(z) plots to view larger versions.
In P(z) plots: Yellow lines mark the cluster redshift z = 0.228,  

Object #2272   x,y = (1920, 2809)   RA, Dec = (06:03:17.280, 42:16:06.24) = (90.82200, 42.26840)   BPZ = 1.731 [0.548--4.100]   type = 11.00 (SB11_A_0_l)   stellarity = 0.62   chisq2 = 35.78   ODDS = 0.24   z_cluster = 0.228