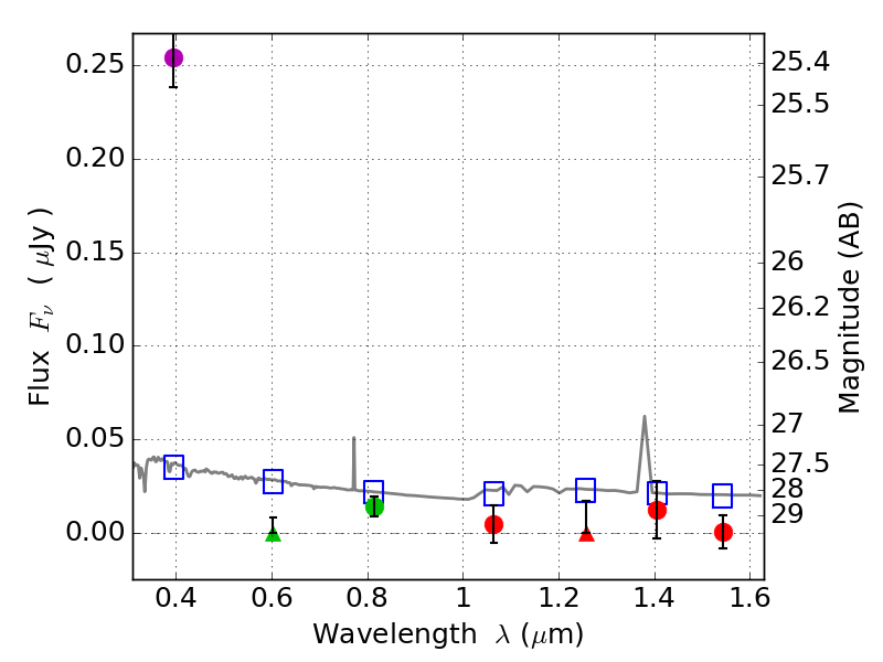
RXS0603+42-N IR detection object #2250

Color images and BPZ results
Catalog: 2250.cat
Black segments are analyzed here.   Roll mouse over color images to view segments.
Best viewed in a wide browser window (1200 pixels or more).   Download SED & P(z) plots to view larger versions.
In P(z) plots: Yellow lines mark the cluster redshift z = 0.228,  

Object #2250   x,y = (2869, 2816)   RA, Dec = (06:03:12.168, 42:16:06.60) = (90.80070, 42.26850)   BPZ = 1.763 [1.083--2.170]   type = 11.00 (SB11_A_0_l)   stellarity = 0.66   chisq2 = 49.05   ODDS = 0.50   z_cluster = 0.228