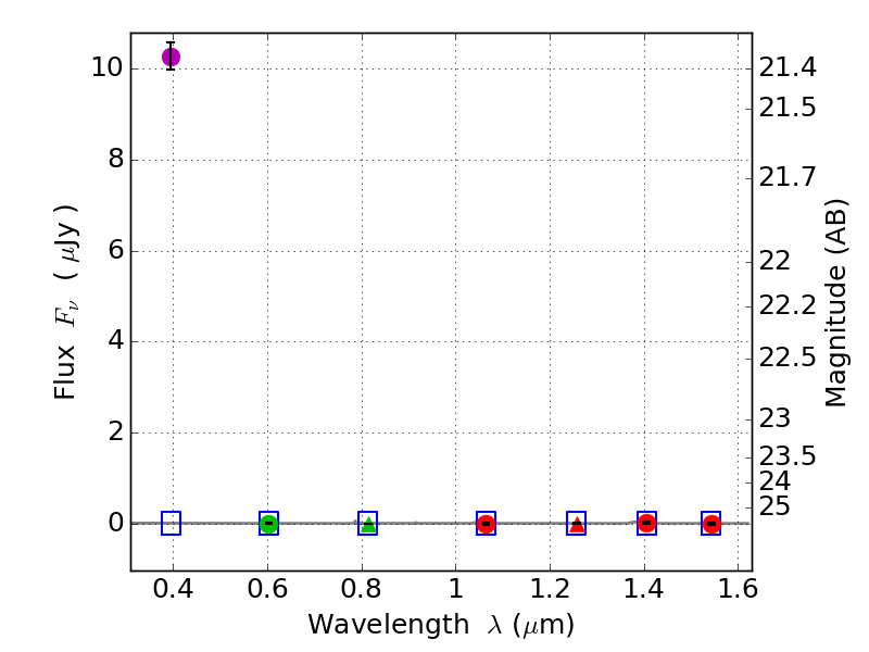
RXS0603+42-N IR detection object #2236

Color images and BPZ results
Catalog: 2236.cat
Black segments are analyzed here.   Roll mouse over color images to view segments.
Best viewed in a wide browser window (1200 pixels or more).   Download SED & P(z) plots to view larger versions.
In P(z) plots: Yellow lines mark the cluster redshift z = 0.228,  

Object #2236   x,y = (1843, 2800)   RA, Dec = (06:03:17.688, 42:16:05.52) = (90.82370, 42.26820)   BPZ = 1.111 [0.301--7.651]   type = 11.00 (SB11_A_0_l)   stellarity = 1.00   chisq2 = 286.90   ODDS = 0.06   z_cluster = 0.228