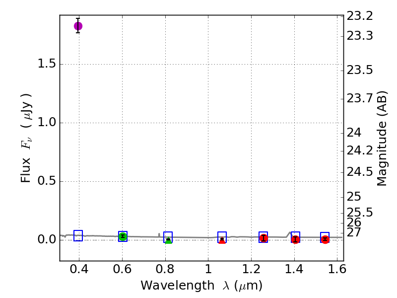
RXS0603+42-N IR detection object #2227

Color images and BPZ results
Catalog: 2227.cat
Black segments are analyzed here.   Roll mouse over color images to view segments.
Best viewed in a wide browser window (1200 pixels or more).   Download SED & P(z) plots to view larger versions.
In P(z) plots: Yellow lines mark the cluster redshift z = 0.228,  

Object #2227   x,y = (1873, 2824)   RA, Dec = (06:03:17.544, 42:16:06.96) = (90.82310, 42.26860)   BPZ = 1.763 [1.129--2.345]   type = 11.00 (SB11_A_0_l)   stellarity = 0.77   chisq2 = 207.40   ODDS = 0.40   z_cluster = 0.228