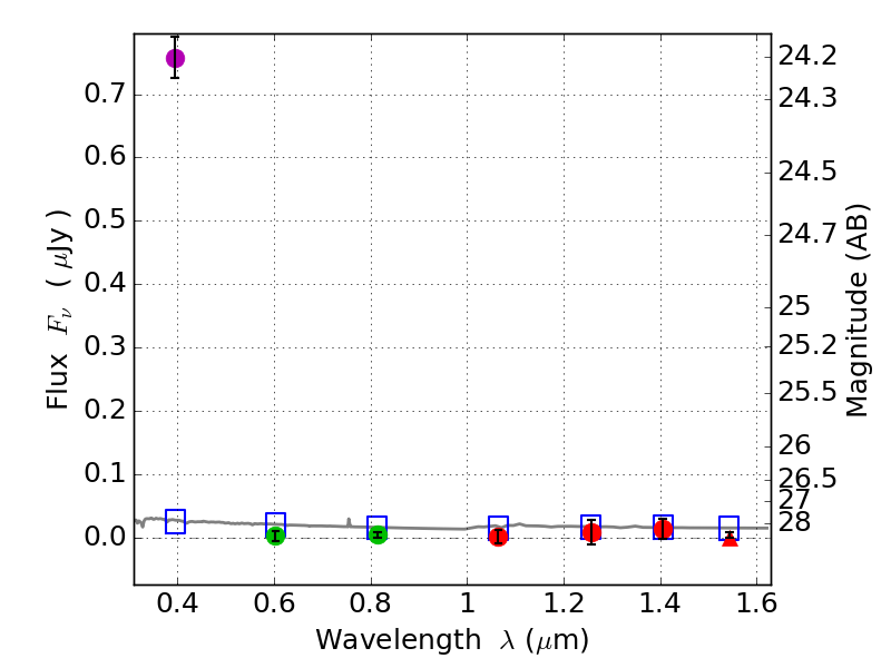
RXS0603+42-N IR detection object #2205

Color images and BPZ results
Catalog: 2205.cat
Black segments are analyzed here.   Roll mouse over color images to view segments.
Best viewed in a wide browser window (1200 pixels or more).   Download SED & P(z) plots to view larger versions.
In P(z) plots: Yellow lines mark the cluster redshift z = 0.228,  

Object #2205   x,y = (1857, 2834)   RA, Dec = (06:03:17.616, 42:16:07.68) = (90.82340, 42.26880)   BPZ = 1.698 [0.947--2.318]   type = 11.00 (SB11_A_0_l)   stellarity = 0.96   chisq2 = 129.00   ODDS = 0.41   z_cluster = 0.228