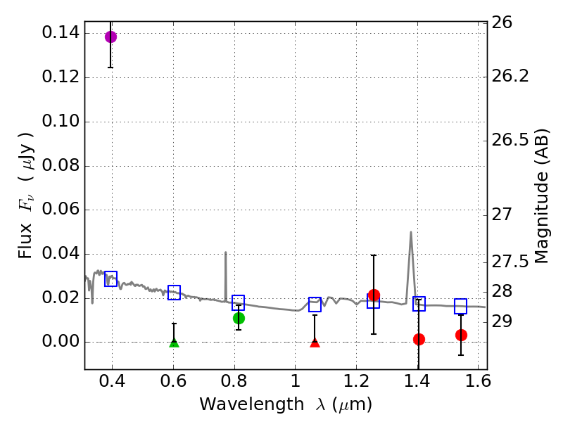
RXS0603+42-N IR detection object #2203

Color images and BPZ results
Catalog: 2203.cat
Black segments are analyzed here.   Roll mouse over color images to view segments.
Best viewed in a wide browser window (1200 pixels or more).   Download SED & P(z) plots to view larger versions.
In P(z) plots: Yellow lines mark the cluster redshift z = 0.228,  

Object #2203   x,y = (2077, 2834)   RA, Dec = (06:03:16.440, 42:16:07.68) = (90.81850, 42.26880)   BPZ = 1.762 [0.829--2.320]   type = 11.00 (SB11_A_0_l)   stellarity = 0.47   chisq2 = 18.07   ODDS = 0.36   z_cluster = 0.228