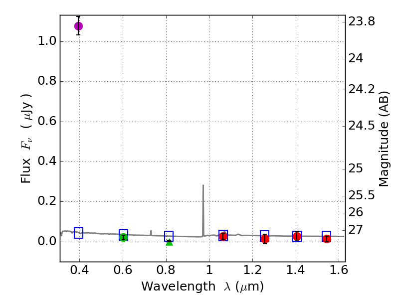
RXS0603+42-N IR detection object #2188

Color images and BPZ results
Catalog: 2188.cat
Black segments are analyzed here.   Roll mouse over color images to view segments.
Best viewed in a wide browser window (1200 pixels or more).   Download SED & P(z) plots to view larger versions.
In P(z) plots: Yellow lines mark the cluster redshift z = 0.228,  

Object #2188   x,y = (1886, 2839)   RA, Dec = (06:03:17.472, 42:16:08.04) = (90.82280, 42.26890)   BPZ = 1.611 [1.242--2.174]   type = 11.00 (SB11_A_0_l)   stellarity = 0.75   chisq2 = 126.60   ODDS = 0.41   z_cluster = 0.228