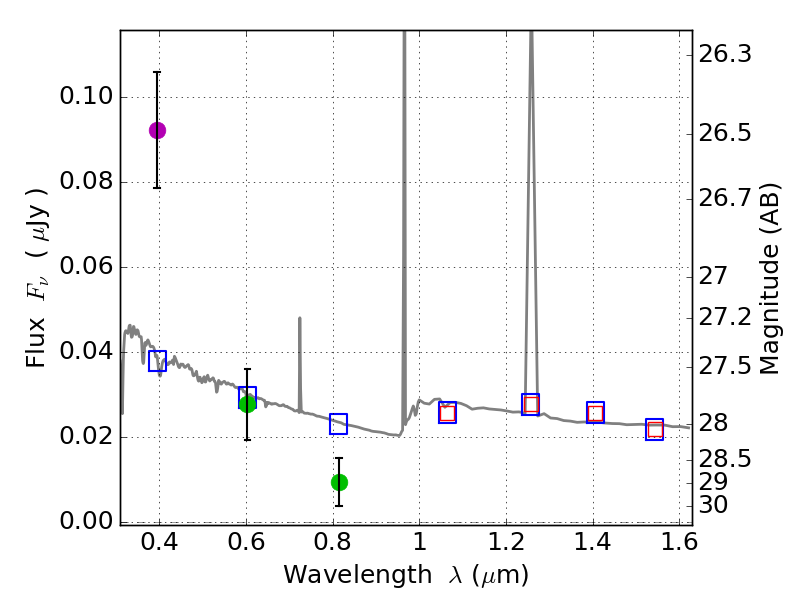
RXS0603+42-N IR detection object #2163

Color images and BPZ results
Catalog: 2163.cat
Black segments are analyzed here.   Roll mouse over color images to view segments.
Best viewed in a wide browser window (1200 pixels or more).   Download SED & P(z) plots to view larger versions.
In P(z) plots: Yellow lines mark the cluster redshift z = 0.228,  

Object #2163   x,y = (4076, 2848)   RA, Dec = (06:03:05.640, 42:16:08.40) = (90.77350, 42.26900)   BPZ = 1.595 [1.146--2.311]   type = 11.00 (SB11_A_0_l)   stellarity = 0.36   chisq2 = 20.20   ODDS = 0.28   z_cluster = 0.228