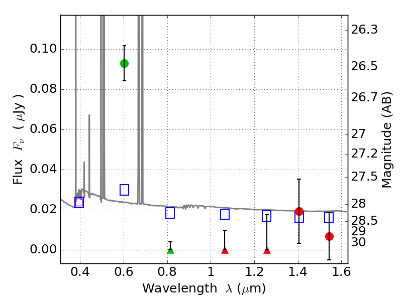
RXS0603+42-N IR detection object #2159

Color images and BPZ results
Catalog: 2159.cat
Black segments are analyzed here.   Roll mouse over color images to view segments.
Best viewed in a wide browser window (1200 pixels or more).   Download SED & P(z) plots to view larger versions.
In P(z) plots: Yellow lines mark the cluster redshift z = 0.228,  

Object #2159   x,y = (1740, 2850)   RA, Dec = (06:03:18.264, 42:16:08.76) = (90.82610, 42.26910)   BPZ = 0.025 [0.012--3.046]   type = 11.00 (SB11_A_0_l)   stellarity = 0.68   chisq2 = 23.74   ODDS = 0.42   z_cluster = 0.228