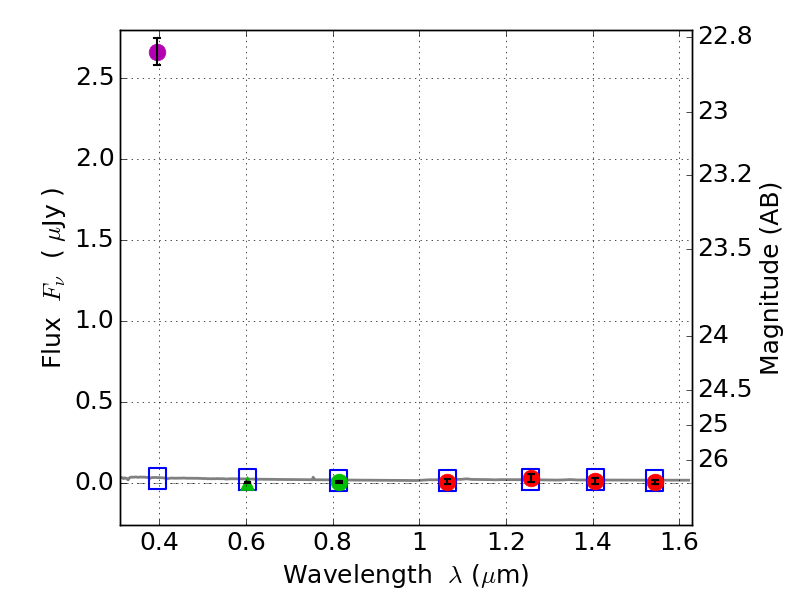
RXS0603+42-N IR detection object #2139

Color images and BPZ results
Catalog: 2139.cat
Black segments are analyzed here.   Roll mouse over color images to view segments.
Best viewed in a wide browser window (1200 pixels or more).   Download SED & P(z) plots to view larger versions.
In P(z) plots: Yellow lines mark the cluster redshift z = 0.228,  

Object #2139   x,y = (1896, 2857)   RA, Dec = (06:03:17.400, 42:16:09.12) = (90.82250, 42.26920)   BPZ = 1.696 [0.660--2.495]   type = 11.00 (SB11_A_0_l)   stellarity = 0.68   chisq2 = 246.90   ODDS = 0.29   z_cluster = 0.228