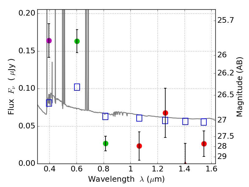
RXS0603+42-N IR detection object #2096

Color images and BPZ results
Catalog: 2096.cat
Black segments are analyzed here.   Roll mouse over color images to view segments.
Best viewed in a wide browser window (1200 pixels or more).   Download SED & P(z) plots to view larger versions.
In P(z) plots: Yellow lines mark the cluster redshift z = 0.228,  

Object #2096   x,y = (2937, 2871)   RA, Dec = (06:03:11.784, 42:16:09.84) = (90.79910, 42.26940)   BPZ = 0.022 [0.011--2.237]   type = 11.00 (SB11_A_0_l)   stellarity = 0.36   chisq2 = 11.28   ODDS = 0.59   z_cluster = 0.228