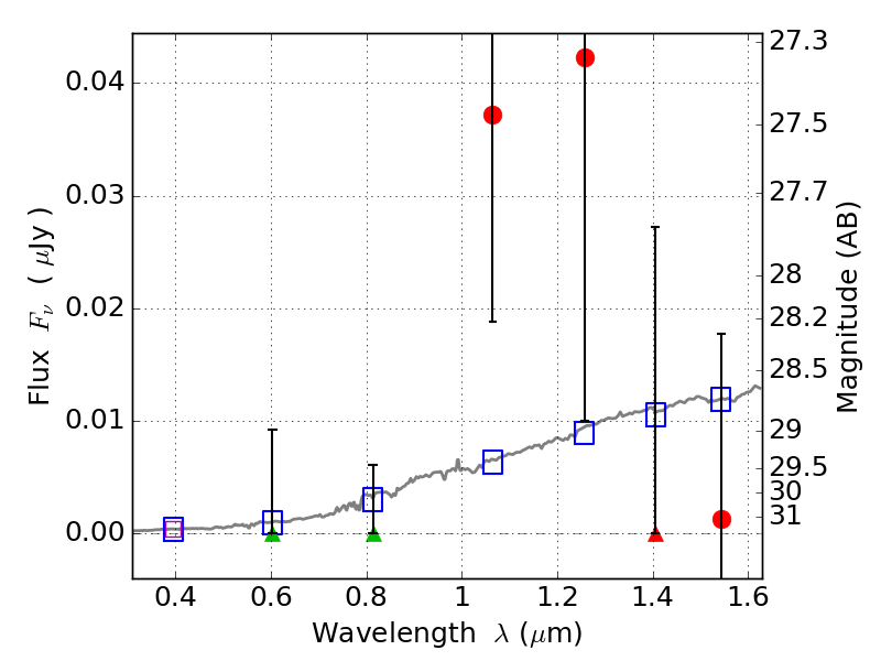
RXS0603+42-N IR detection object #2091

Color images and BPZ results
Catalog: 2091.cat
Black segments are analyzed here.   Roll mouse over color images to view segments.
Best viewed in a wide browser window (1200 pixels or more).   Download SED & P(z) plots to view larger versions.
In P(z) plots: Yellow lines mark the cluster redshift z = 0.228,  

Object #2091   x,y = (1835, 2875)   RA, Dec = (06:03:17.736, 42:16:10.20) = (90.82390, 42.26950)   BPZ = 0.985 [0.262--6.764]   type = 6.00 (Sbc_B10)   stellarity = 0.67   chisq2 = 1.56   ODDS = 0.07   z_cluster = 0.228