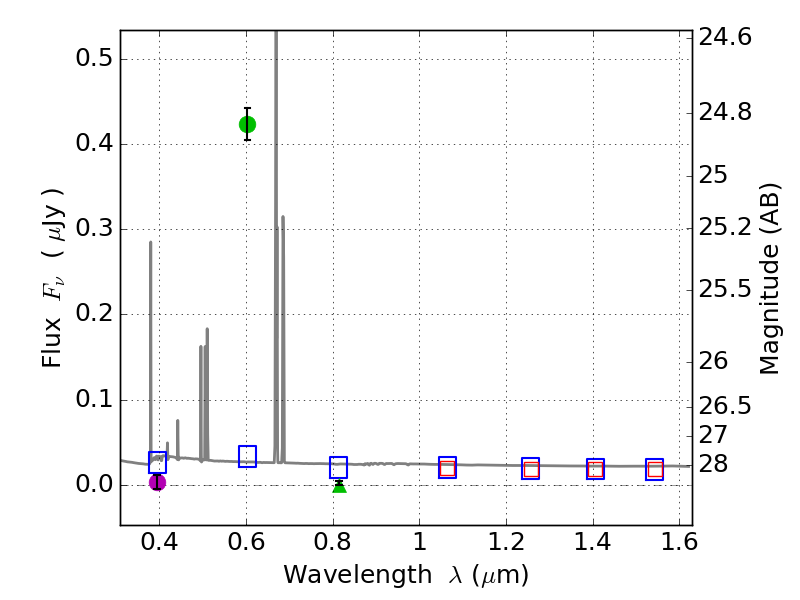
RXS0603+42-N IR detection object #206

Color images and BPZ results
Catalog: 206.cat
Black segments are analyzed here.   Roll mouse over color images to view segments.
Best viewed in a wide browser window (1200 pixels or more).   Download SED & P(z) plots to view larger versions.
In P(z) plots: Yellow lines mark the cluster redshift z = 0.228,  

Object #206   x,y = (2473, 3728)   RA, Dec = (06:03:14.304, 42:17:01.32) = (90.80960, 42.28370)   BPZ = 0.024 [0.010--2.991]   type = 11.00 (SB11_A_0_l)   stellarity = 0.85   chisq2 = 444.30   ODDS = 0.80   z_cluster = 0.228