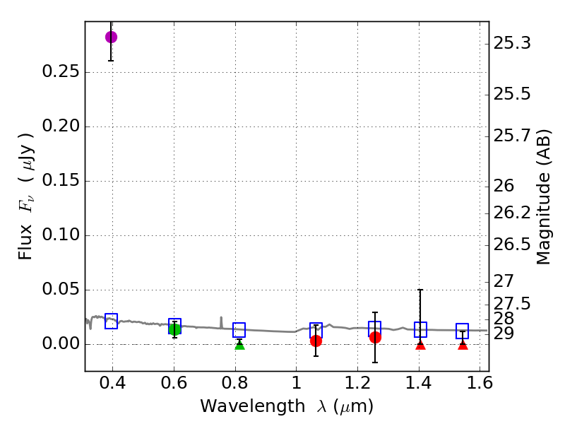
RXS0603+42-N IR detection object #2059

Color images and BPZ results
Catalog: 2059.cat
Black segments are analyzed here.   Roll mouse over color images to view segments.
Best viewed in a wide browser window (1200 pixels or more).   Download SED & P(z) plots to view larger versions.
In P(z) plots: Yellow lines mark the cluster redshift z = 0.228,  

Object #2059   x,y = (1905, 2888)   RA, Dec = (06:03:17.352, 42:16:10.92) = (90.82230, 42.26970)   BPZ = 1.698 [0.735--2.544]   type = 11.00 (SB11_A_0_l)   stellarity = 0.70   chisq2 = 35.51   ODDS = 0.31   z_cluster = 0.228