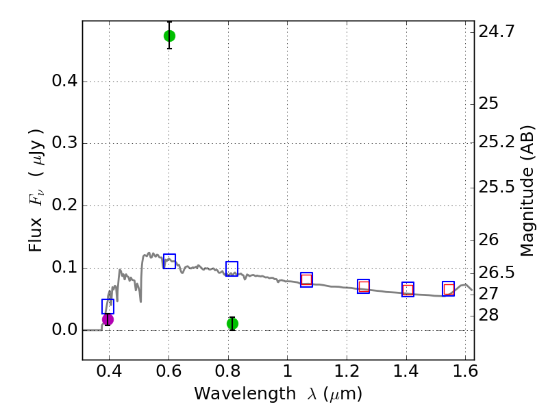
RXS0603+42-N IR detection object #2033

Color images and BPZ results
Catalog: 2033.cat
Black segments are analyzed here.   Roll mouse over color images to view segments.
Best viewed in a wide browser window (1200 pixels or more).   Download SED & P(z) plots to view larger versions.
In P(z) plots: Yellow lines mark the cluster redshift z = 0.228,  

Object #2033   x,y = (4340, 2892)   RA, Dec = (06:03:04.200, 42:16:11.28) = (90.76750, 42.26980)   BPZ = 3.171 [2.977--3.346]   type = 11.00 (SB11_A_0_l)   stellarity = 0.69   chisq2 = 312.20   ODDS = 0.93   z_cluster = 0.228