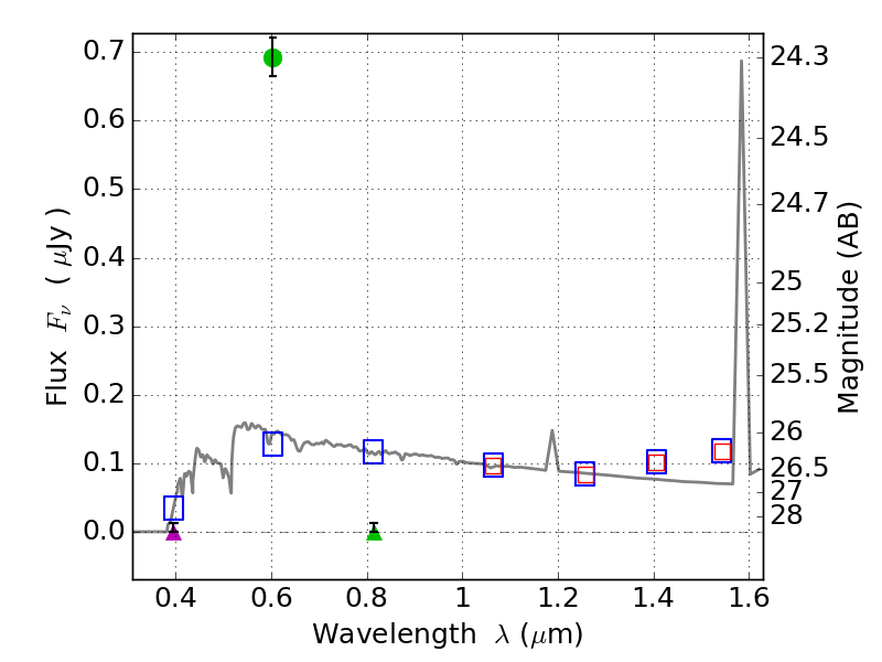
RXS0603+42-N IR detection object #2029

Color images and BPZ results
Catalog: 2029.cat
Black segments are analyzed here.   Roll mouse over color images to view segments.
Best viewed in a wide browser window (1200 pixels or more).   Download SED & P(z) plots to view larger versions.
In P(z) plots: Yellow lines mark the cluster redshift z = 0.228,  

Object #2029   x,y = (4363, 2892)   RA, Dec = (06:03:04.080, 42:16:11.28) = (90.76700, 42.26980)   BPZ = 3.254 [3.081--3.472]   type = 11.00 (SB11_A_0_l)   stellarity = 0.75   chisq2 = 421.90   ODDS = 0.91   z_cluster = 0.228