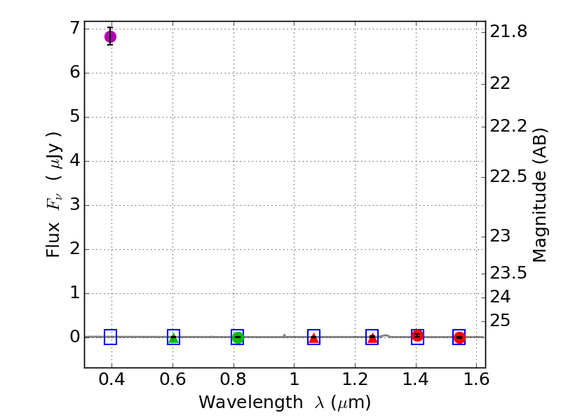
RXS0603+42-N IR detection object #2016

Color images and BPZ results
Catalog: 2016.cat
Black segments are analyzed here.   Roll mouse over color images to view segments.
Best viewed in a wide browser window (1200 pixels or more).   Download SED & P(z) plots to view larger versions.
In P(z) plots: Yellow lines mark the cluster redshift z = 0.228,  

Object #2016   x,y = (1903, 2897)   RA, Dec = (06:03:17.376, 42:16:11.64) = (90.82240, 42.26990)   BPZ = 1.598 [0.337--8.092]   type = 11.00 (SB11_A_0_l)   stellarity = 0.83   chisq2 = 287.10   ODDS = 0.07   z_cluster = 0.228