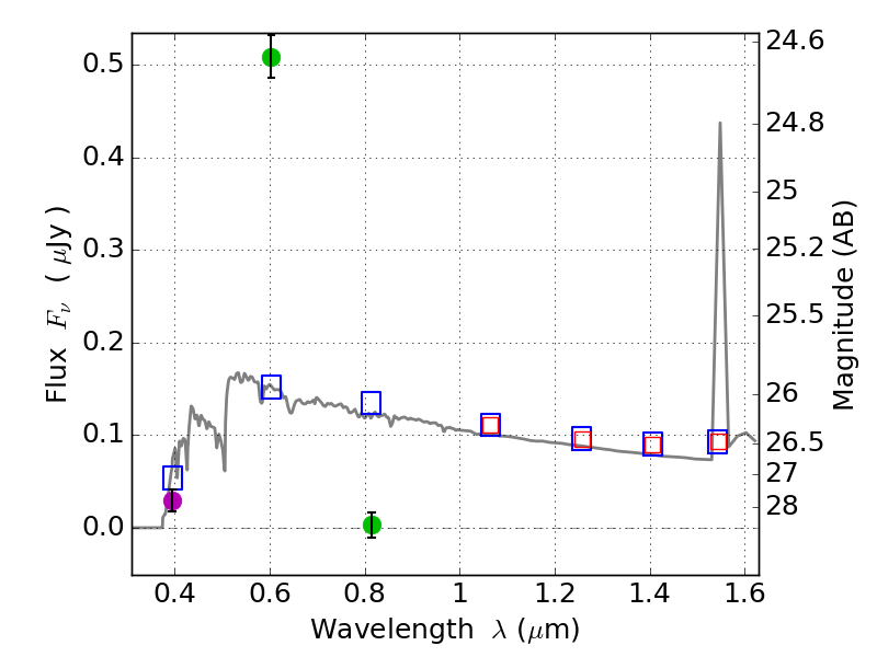
RXS0603+42-N IR detection object #1998

Color images and BPZ results
Catalog: 1998.cat
Black segments are analyzed here.   Roll mouse over color images to view segments.
Best viewed in a wide browser window (1200 pixels or more).   Download SED & P(z) plots to view larger versions.
In P(z) plots: Yellow lines mark the cluster redshift z = 0.228,  

Object #1998   x,y = (4325, 2904)   RA, Dec = (06:03:04.272, 42:16:12.00) = (90.76780, 42.27000)   BPZ = 3.165 [2.977--3.308]   type = 11.00 (SB11_A_0_l)   stellarity = 0.64   chisq2 = 258.90   ODDS = 0.95   z_cluster = 0.228