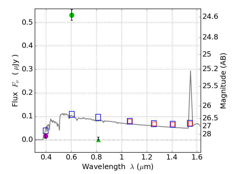
RXS0603+42-N IR detection object #1962

Color images and BPZ results
Catalog: 1962.cat
Black segments are analyzed here.   Roll mouse over color images to view segments.
Best viewed in a wide browser window (1200 pixels or more).   Download SED & P(z) plots to view larger versions.
In P(z) plots: Yellow lines mark the cluster redshift z = 0.228,  

Object #1962   x,y = (4330, 2915)   RA, Dec = (06:03:04.248, 42:16:12.72) = (90.76770, 42.27020)   BPZ = 3.163 [0.020--3.324]   type = 11.00 (SB11_A_0_l)   stellarity = 0.78   chisq2 = 381.10   ODDS = 0.83   z_cluster = 0.228