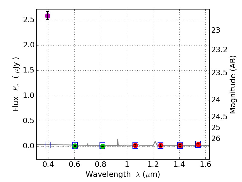
RXS0603+42-N IR detection object #1953

Color images and BPZ results
Catalog: 1953.cat
Black segments are analyzed here.   Roll mouse over color images to view segments.
Best viewed in a wide browser window (1200 pixels or more).   Download SED & P(z) plots to view larger versions.
In P(z) plots: Yellow lines mark the cluster redshift z = 0.228,  

Object #1953   x,y = (1882, 2919)   RA, Dec = (06:03:17.496, 42:16:12.72) = (90.82290, 42.27020)   BPZ = 1.498 [0.980--2.809]   type = 11.00 (SB11_A_0_l)   stellarity = 0.85   chisq2 = 238.60   ODDS = 0.22   z_cluster = 0.228