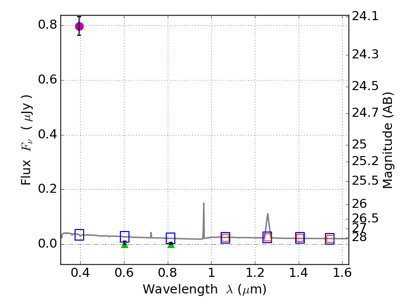
RXS0603+42-N IR detection object #195

Color images and BPZ results
Catalog: 195.cat
Black segments are analyzed here.   Roll mouse over color images to view segments.
Best viewed in a wide browser window (1200 pixels or more).   Download SED & P(z) plots to view larger versions.
In P(z) plots: Yellow lines mark the cluster redshift z = 0.228,  

Object #195   x,y = (2337, 3734)   RA, Dec = (06:03:15.024, 42:17:01.68) = (90.81260, 42.28380)   BPZ = 1.595 [1.176--2.200]   type = 11.00 (SB11_A_0_l)   stellarity = 0.65   chisq2 = 498.80   ODDS = 0.33   z_cluster = 0.228