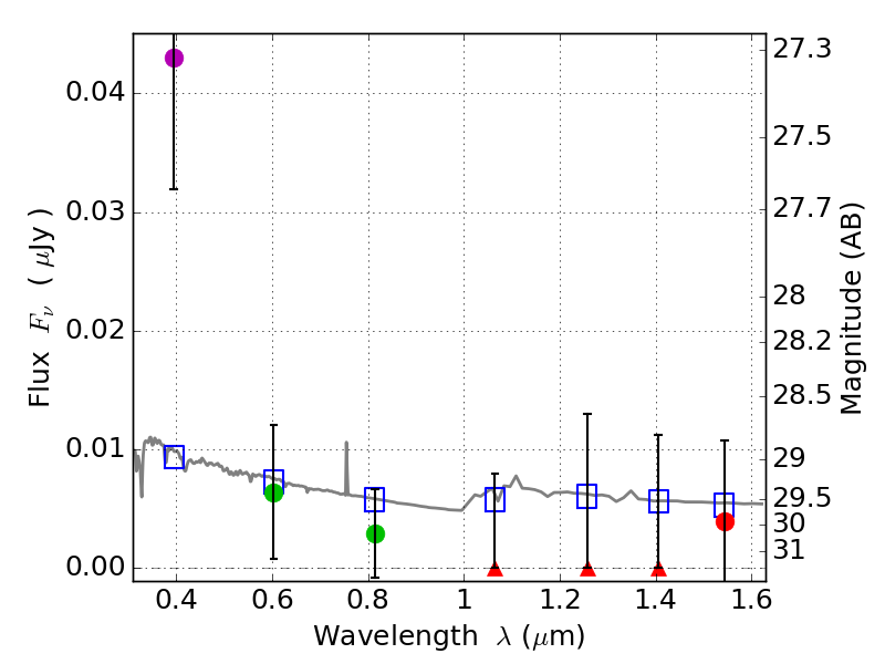
RXS0603+42-N IR detection object #1946

Color images and BPZ results
Catalog: 1946.cat
Black segments are analyzed here.   Roll mouse over color images to view segments.
Best viewed in a wide browser window (1200 pixels or more).   Download SED & P(z) plots to view larger versions.
In P(z) plots: Yellow lines mark the cluster redshift z = 0.228,  

Object #1946   x,y = (3733, 2921)   RA, Dec = (06:03:07.488, 42:16:13.08) = (90.78120, 42.27030)   BPZ = 1.700 [0.294--6.410]   type = 11.00 (SB11_A_0_l)   stellarity = 0.39   chisq2 = 2.68   ODDS = 0.09   z_cluster = 0.228