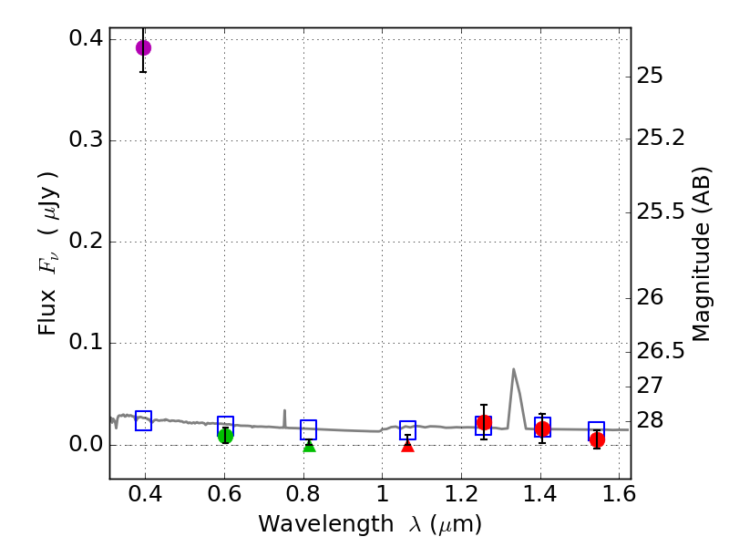
RXS0603+42-N IR detection object #1942

Color images and BPZ results
Catalog: 1942.cat
Black segments are analyzed here.   Roll mouse over color images to view segments.
Best viewed in a wide browser window (1200 pixels or more).   Download SED & P(z) plots to view larger versions.
In P(z) plots: Yellow lines mark the cluster redshift z = 0.228,  

Object #1942   x,y = (1876, 2923)   RA, Dec = (06:03:17.520, 42:16:13.08) = (90.82300, 42.27030)   BPZ = 1.695 [0.940--2.390]   type = 11.00 (SB11_A_0_l)   stellarity = 0.84   chisq2 = 58.21   ODDS = 0.36   z_cluster = 0.228