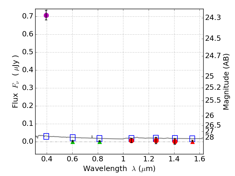
RXS0603+42-N IR detection object #1932

Color images and BPZ results
Catalog: 1932.cat
Black segments are analyzed here.   Roll mouse over color images to view segments.
Best viewed in a wide browser window (1200 pixels or more).   Download SED & P(z) plots to view larger versions.
In P(z) plots: Yellow lines mark the cluster redshift z = 0.228,  

Object #1932   x,y = (1977, 2926)   RA, Dec = (06:03:16.968, 42:16:13.08) = (90.82070, 42.27030)   BPZ = 1.701 [1.185--2.150]   type = 11.00 (SB11_A_0_l)   stellarity = 0.73   chisq2 = 156.60   ODDS = 0.53   z_cluster = 0.228