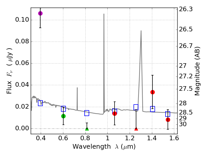
RXS0603+42-N IR detection object #1907

Color images and BPZ results
Catalog: 1907.cat
Black segments are analyzed here.   Roll mouse over color images to view segments.
Best viewed in a wide browser window (1200 pixels or more).   Download SED & P(z) plots to view larger versions.
In P(z) plots: Yellow lines mark the cluster redshift z = 0.228,  

Object #1907   x,y = (3050, 2953)   RA, Dec = (06:03:11.184, 42:16:14.88) = (90.79660, 42.27080)   BPZ = 1.600 [0.916--2.407]   type = 11.00 (SB11_A_0_l)   stellarity = 0.35   chisq2 = 11.99   ODDS = 0.26   z_cluster = 0.228