RXS0603+42-N IR detection object #1905

Color images and BPZ results
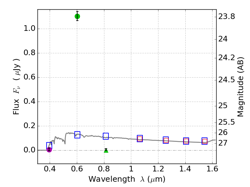
Catalog: 1905.cat
Black segments are analyzed here.   Roll mouse over color images to view segments.
Best viewed in a wide browser window (1200 pixels or more).   Download SED & P(z) plots to view larger versions.
In P(z) plots: Yellow lines mark the cluster redshift z = 0.228,  

Object #1905   x,y = (4314, 2932)   RA, Dec = (06:03:04.344, 42:16:13.44) = (90.76810, 42.27040)   BPZ = 3.225 [3.018--3.430]   type = 11.00 (SB11_A_0_l)   stellarity = 0.69   chisq2 = 680.80   ODDS = 0.90   z_cluster = 0.228