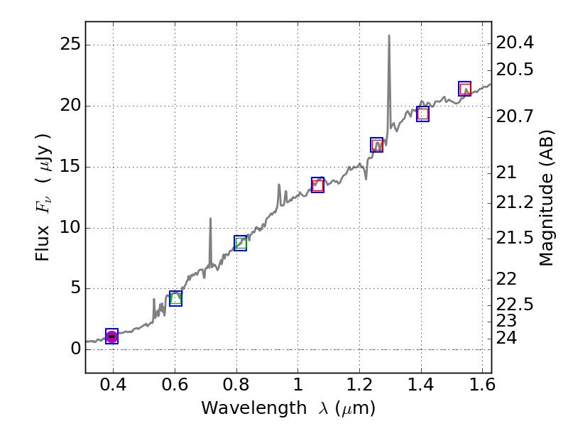
RXS0603+42-N IR detection object #1901

Color images and BPZ results
Catalog: 1901.cat
Black segments are analyzed here.   Roll mouse over color images to view segments.
Best viewed in a wide browser window (1200 pixels or more).   Download SED & P(z) plots to view larger versions.
In P(z) plots: Yellow lines mark the cluster redshift z = 0.228,  

Object #1901   x,y = (4488, 2929)   RA, Dec = (06:03:03.408, 42:16:13.44) = (90.76420, 42.27040)   BPZ = 0.432 [0.051--0.865]   type = 6.30 (Sbc_B10 - Scd_B10)   stellarity = 0.99   chisq2 = 990.00   ODDS = 0.21   z_cluster = 0.228