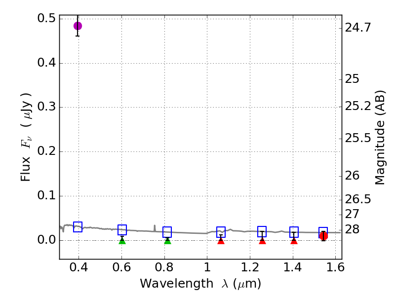
RXS0603+42-N IR detection object #1857

Color images and BPZ results
Catalog: 1857.cat
Black segments are analyzed here.   Roll mouse over color images to view segments.
Best viewed in a wide browser window (1200 pixels or more).   Download SED & P(z) plots to view larger versions.
In P(z) plots: Yellow lines mark the cluster redshift z = 0.228,  

Object #1857   x,y = (2010, 2951)   RA, Dec = (06:03:16.800, 42:16:14.88) = (90.82000, 42.27080)   BPZ = 1.700 [1.153--2.237]   type = 11.00 (SB11_A_0_l)   stellarity = 0.69   chisq2 = 91.91   ODDS = 0.41   z_cluster = 0.228