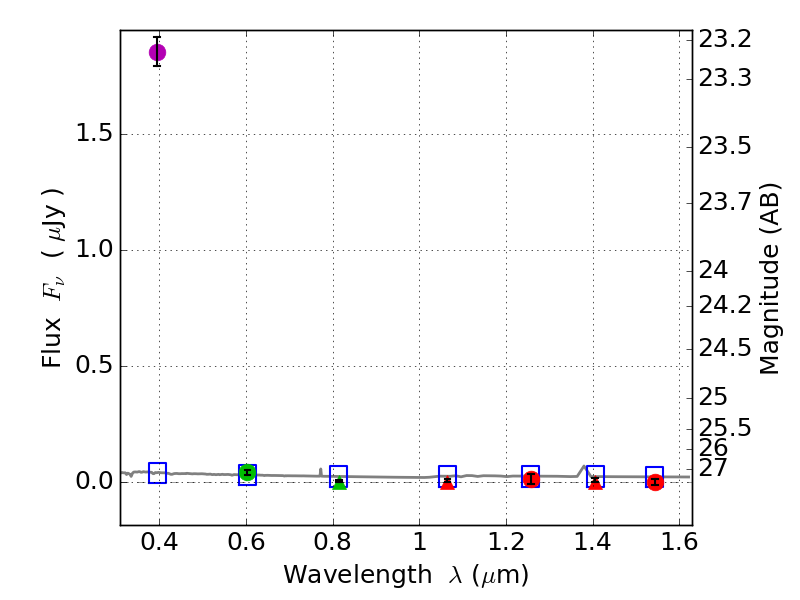
RXS0603+42-N IR detection object #1852

Color images and BPZ results
Catalog: 1852.cat
Black segments are analyzed here.   Roll mouse over color images to view segments.
Best viewed in a wide browser window (1200 pixels or more).   Download SED & P(z) plots to view larger versions.
In P(z) plots: Yellow lines mark the cluster redshift z = 0.228,  

Object #1852   x,y = (1939, 2951)   RA, Dec = (06:03:17.184, 42:16:14.88) = (90.82160, 42.27080)   BPZ = 1.763 [1.308--2.319]   type = 11.00 (SB11_A_0_l)   stellarity = 0.95   chisq2 = 210.00   ODDS = 0.44   z_cluster = 0.228