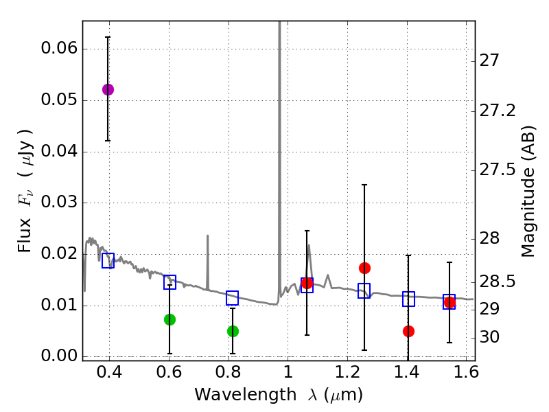
RXS0603+42-N IR detection object #1830

Color images and BPZ results
Catalog: 1830.cat
Black segments are analyzed here.   Roll mouse over color images to view segments.
Best viewed in a wide browser window (1200 pixels or more).   Download SED & P(z) plots to view larger versions.
In P(z) plots: Yellow lines mark the cluster redshift z = 0.228,  

Object #1830   x,y = (2971, 2977)   RA, Dec = (06:03:11.592, 42:16:16.32) = (90.79830, 42.27120)   BPZ = 1.613 [0.545--2.696]   type = 11.00 (SB11_A_0_l)   stellarity = 0.35   chisq2 = 3.53   ODDS = 0.20   z_cluster = 0.228