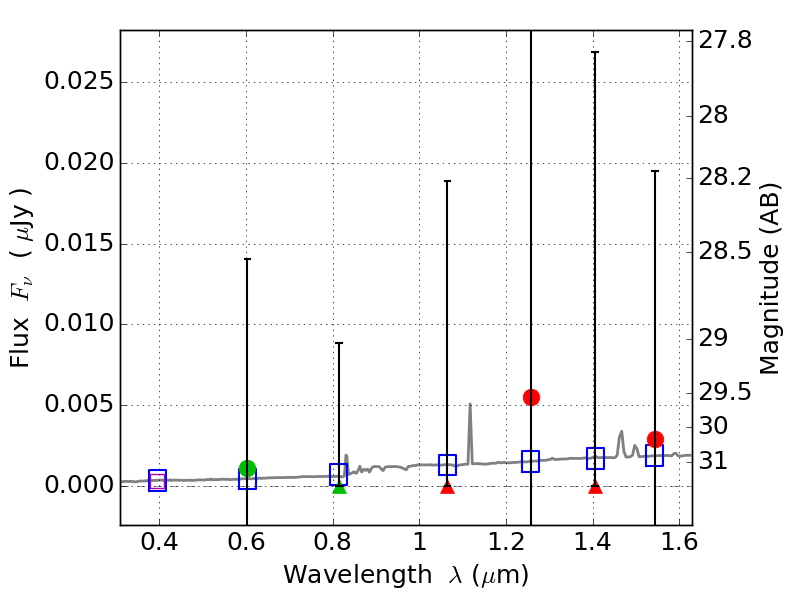
RXS0603+42-N IR detection object #1813

Color images and BPZ results
Catalog: 1813.cat
Black segments are analyzed here.   Roll mouse over color images to view segments.
Best viewed in a wide browser window (1200 pixels or more).   Download SED & P(z) plots to view larger versions.
In P(z) plots: Yellow lines mark the cluster redshift z = 0.228,  

Object #1813   x,y = (1881, 2964)   RA, Dec = (06:03:17.496, 42:16:15.60) = (90.82290, 42.27100)   BPZ = 1.228 [0.348--9.271]   type = 8.00 (SB1_B10)   stellarity = 0.93   chisq2 = 900.00   ODDS = 0.05   z_cluster = 0.228