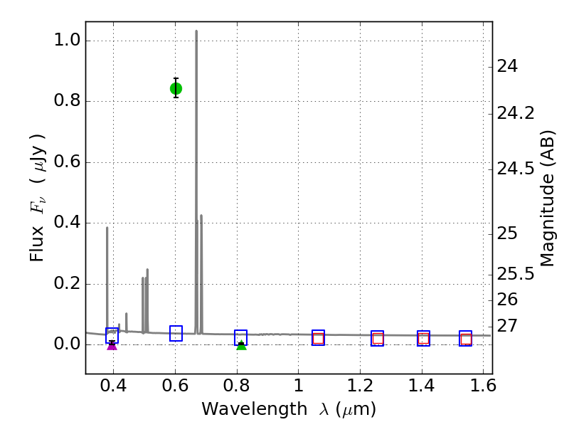
RXS0603+42-N IR detection object #178

Color images and BPZ results
Catalog: 178.cat
Black segments are analyzed here.   Roll mouse over color images to view segments.
Best viewed in a wide browser window (1200 pixels or more).   Download SED & P(z) plots to view larger versions.
In P(z) plots: Yellow lines mark the cluster redshift z = 0.228,  

Object #178   x,y = (2479, 3749)   RA, Dec = (06:03:14.256, 42:17:02.76) = (90.80940, 42.28410)   BPZ = 0.025 [0.011--3.142]   type = 11.00 (SB11_A_0_l)   stellarity = 0.70   chisq2 = 709.20   ODDS = 0.62   z_cluster = 0.228