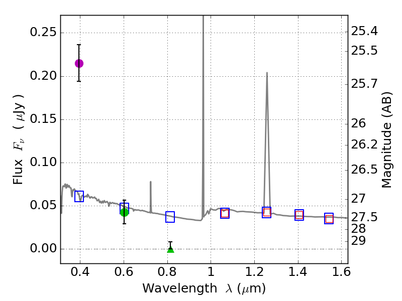
RXS0603+42-N IR detection object #1778

Color images and BPZ results
Catalog: 1778.cat
Black segments are analyzed here.   Roll mouse over color images to view segments.
Best viewed in a wide browser window (1200 pixels or more).   Download SED & P(z) plots to view larger versions.
In P(z) plots: Yellow lines mark the cluster redshift z = 0.228,  

Object #1778   x,y = (3912, 2976)   RA, Dec = (06:03:06.528, 42:16:16.32) = (90.77720, 42.27120)   BPZ = 1.594 [1.276--2.129]   type = 11.00 (SB11_A_0_l)   stellarity = 0.36   chisq2 = 66.32   ODDS = 0.38   z_cluster = 0.228