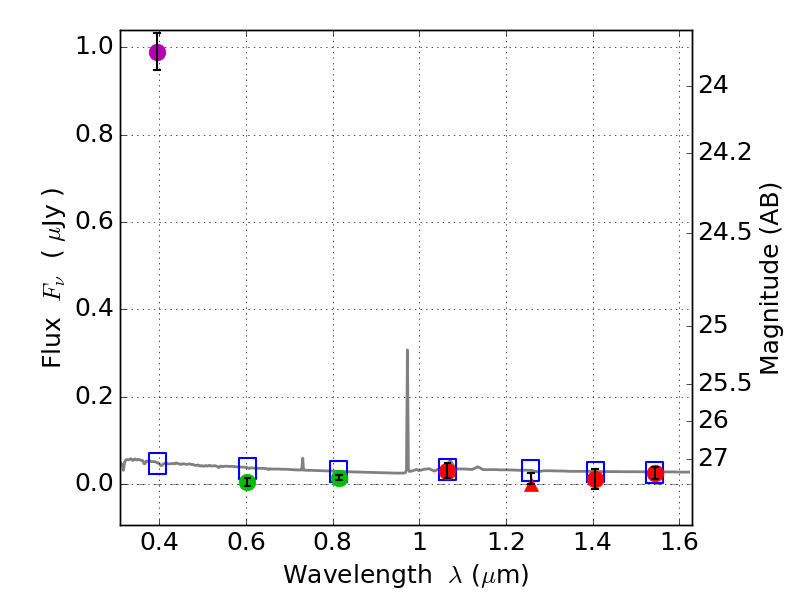
RXS0603+42-N IR detection object #1776

Color images and BPZ results
Catalog: 1776.cat
Black segments are analyzed here.   Roll mouse over color images to view segments.
Best viewed in a wide browser window (1200 pixels or more).   Download SED & P(z) plots to view larger versions.
In P(z) plots: Yellow lines mark the cluster redshift z = 0.228,  

Object #1776   x,y = (1949, 2983)   RA, Dec = (06:03:17.136, 42:16:16.68) = (90.82140, 42.27130)   BPZ = 1.612 [1.117--2.144]   type = 11.00 (SB11_A_0_l)   stellarity = 0.86   chisq2 = 130.90   ODDS = 0.38   z_cluster = 0.228