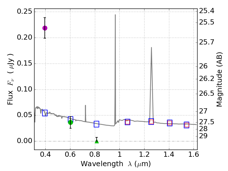
RXS0603+42-N IR detection object #1751

Color images and BPZ results
Catalog: 1751.cat
Black segments are analyzed here.   Roll mouse over color images to view segments.
Best viewed in a wide browser window (1200 pixels or more).   Download SED & P(z) plots to view larger versions.
In P(z) plots: Yellow lines mark the cluster redshift z = 0.228,  

Object #1751   x,y = (3900, 2991)   RA, Dec = (06:03:06.576, 42:16:17.04) = (90.77740, 42.27140)   BPZ = 1.594 [1.291--2.103]   type = 11.00 (SB11_A_0_l)   stellarity = 0.49   chisq2 = 84.95   ODDS = 0.39   z_cluster = 0.228