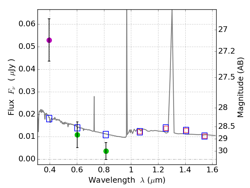
RXS0603+42-N IR detection object #1732

Color images and BPZ results
Catalog: 1732.cat
Black segments are analyzed here.   Roll mouse over color images to view segments.
Best viewed in a wide browser window (1200 pixels or more).   Download SED & P(z) plots to view larger versions.
In P(z) plots: Yellow lines mark the cluster redshift z = 0.228,  

Object #1732   x,y = (3894, 2994)   RA, Dec = (06:03:06.624, 42:16:17.40) = (90.77760, 42.27150)   BPZ = 1.596 [0.735--2.580]   type = 11.00 (SB11_A_0_l)   stellarity = 0.36   chisq2 = 17.25   ODDS = 0.20   z_cluster = 0.228