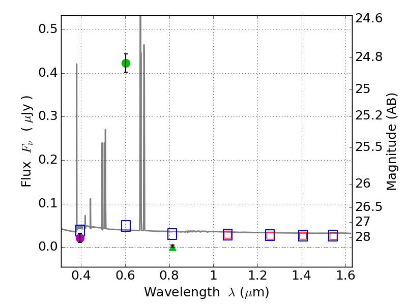
RXS0603+42-N IR detection object #1682

Color images and BPZ results
Catalog: 1682.cat
Black segments are analyzed here.   Roll mouse over color images to view segments.
Best viewed in a wide browser window (1200 pixels or more).   Download SED & P(z) plots to view larger versions.
In P(z) plots: Yellow lines mark the cluster redshift z = 0.228,  

Object #1682   x,y = (4066, 3007)   RA, Dec = (06:03:05.688, 42:16:18.12) = (90.77370, 42.27170)   BPZ = 0.022 [0.010--1.587]   type = 11.00 (SB11_A_0_l)   stellarity = 0.71   chisq2 = 353.60   ODDS = 0.97   z_cluster = 0.228