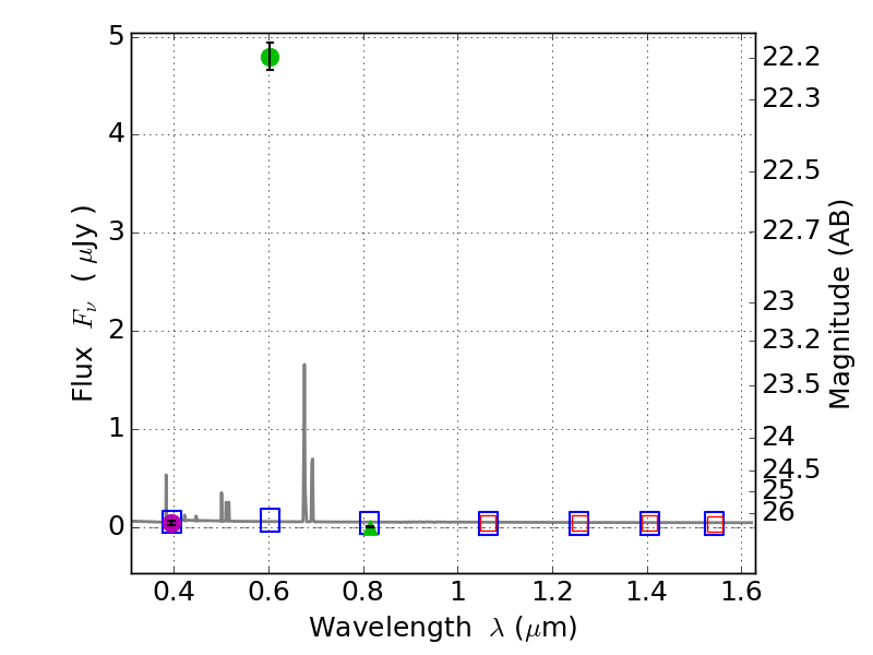
RXS0603+42-N IR detection object #1640

Color images and BPZ results
Catalog: 1640.cat
Black segments are analyzed here.   Roll mouse over color images to view segments.
Best viewed in a wide browser window (1200 pixels or more).   Download SED & P(z) plots to view larger versions.
In P(z) plots: Yellow lines mark the cluster redshift z = 0.228,  

Object #1640   x,y = (4128, 3022)   RA, Dec = (06:03:05.352, 42:16:18.84) = (90.77230, 42.27190)   BPZ = 0.028 [0.014--2.510]   type = 11.00 (SB11_A_0_l)   stellarity = 0.95   chisq2 = 1127.00   ODDS = 0.34   z_cluster = 0.228