RXS0603+42-N IR detection object #1592

Color images and BPZ results
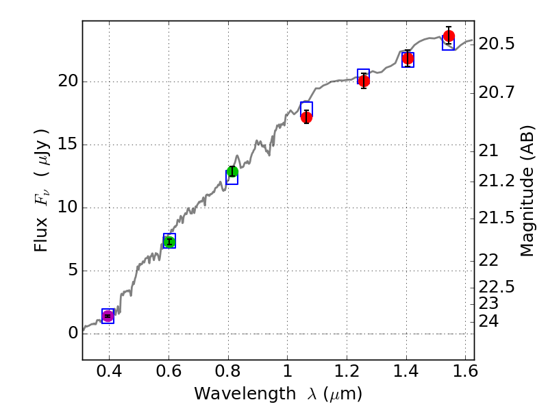
Catalog: 1592.cat
Black segments are analyzed here.   Roll mouse over color images to view segments.
Best viewed in a wide browser window (1200 pixels or more).   Download SED & P(z) plots to view larger versions.
In P(z) plots: Yellow lines mark the cluster redshift z = 0.228,  

Object #1592   x,y = (2438, 3024)   RA, Dec = (06:03:14.496, 42:16:19.20) = (90.81040, 42.27200)   BPZ = 0.096 [0.060--0.169]   type = 4.20 (Ell4_A_0 - ES0_B10)   stellarity = 0.03   chisq2 = 0.10   ODDS = 0.80   z_cluster = 0.228