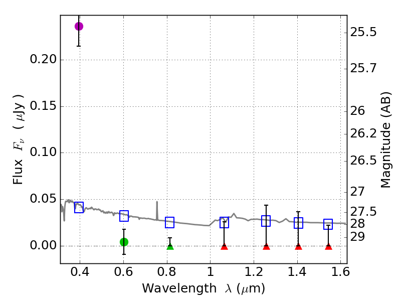
RXS0603+42-N IR detection object #1580

Color images and BPZ results
Catalog: 1580.cat
Black segments are analyzed here.   Roll mouse over color images to view segments.
Best viewed in a wide browser window (1200 pixels or more).   Download SED & P(z) plots to view larger versions.
In P(z) plots: Yellow lines mark the cluster redshift z = 0.228,  

Object #1580   x,y = (3848, 3038)   RA, Dec = (06:03:06.864, 42:16:19.92) = (90.77860, 42.27220)   BPZ = 1.700 [1.025--2.305]   type = 11.00 (SB11_A_0_l)   stellarity = 0.53   chisq2 = 23.32   ODDS = 0.37   z_cluster = 0.228