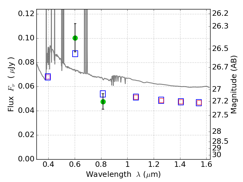
RXS0603+42-N IR detection object #1518

Color images and BPZ results
Catalog: 1518.cat
Black segments are analyzed here.   Roll mouse over color images to view segments.
Best viewed in a wide browser window (1200 pixels or more).   Download SED & P(z) plots to view larger versions.
In P(z) plots: Yellow lines mark the cluster redshift z = 0.228,  

Object #1518   x,y = (1867, 3099)   RA, Dec = (06:03:17.568, 42:16:23.52) = (90.82320, 42.27320)   BPZ = 0.032 [0.033--3.077]   type = 11.00 (SB11_A_0_l)   stellarity = 0.49   chisq2 = 1.55   ODDS = 0.05   z_cluster = 0.228