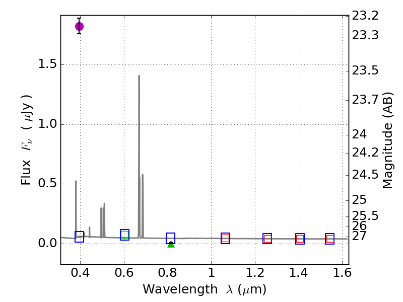
RXS0603+42-N IR detection object #1498

Color images and BPZ results
Catalog: 1498.cat
Black segments are analyzed here.   Roll mouse over color images to view segments.
Best viewed in a wide browser window (1200 pixels or more).   Download SED & P(z) plots to view larger versions.
In P(z) plots: Yellow lines mark the cluster redshift z = 0.228,  

Object #1498   x,y = (4156, 3087)   RA, Dec = (06:03:05.208, 42:16:22.80) = (90.77170, 42.27300)   BPZ = 0.021 [0.010--1.235]   type = 11.00 (SB11_A_0_l)   stellarity = 1.00   chisq2 = 768.10   ODDS = 0.95   z_cluster = 0.228