RXS0603+42-N IR detection object #1486

Color images and BPZ results
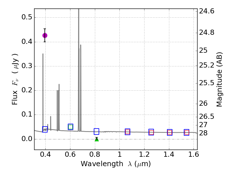
Catalog: 1486.cat
Black segments are analyzed here.   Roll mouse over color images to view segments.
Best viewed in a wide browser window (1200 pixels or more).   Download SED & P(z) plots to view larger versions.
In P(z) plots: Yellow lines mark the cluster redshift z = 0.228,  

Object #1486   x,y = (4108, 3099)   RA, Dec = (06:03:05.448, 42:16:23.52) = (90.77270, 42.27320)   BPZ = 0.022 [0.010--0.281]   type = 11.00 (SB11_A_0_l)   stellarity = 0.97   chisq2 = 223.10   ODDS = 0.95   z_cluster = 0.228