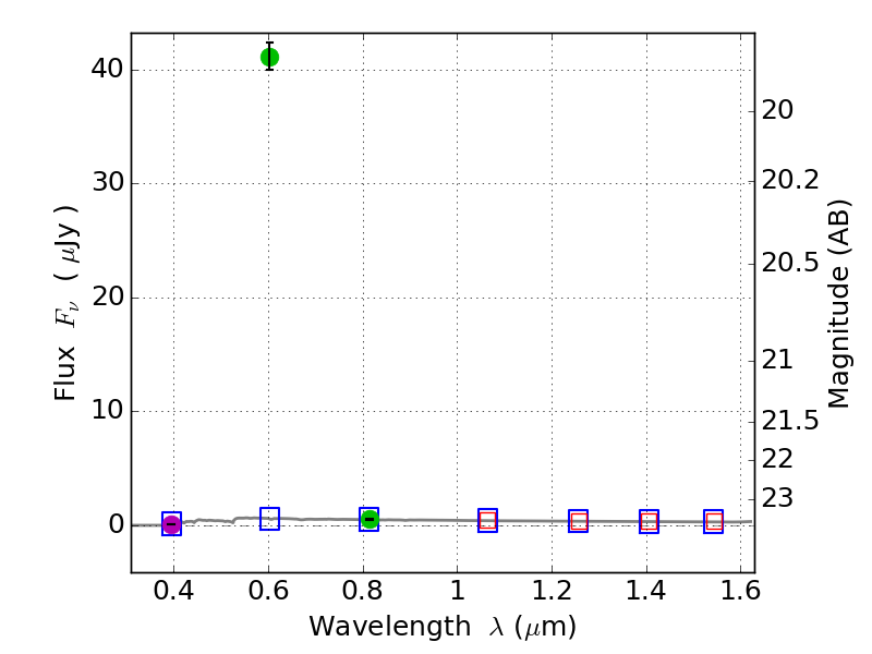
RXS0603+42-N IR detection object #1474

Color images and BPZ results
Catalog: 1474.cat
Black segments are analyzed here.   Roll mouse over color images to view segments.
Best viewed in a wide browser window (1200 pixels or more).   Download SED & P(z) plots to view larger versions.
In P(z) plots: Yellow lines mark the cluster redshift z = 0.228,  

Object #1474   x,y = (3892, 3089)   RA, Dec = (06:03:06.624, 42:16:23.16) = (90.77760, 42.27310)   BPZ = 3.332 [0.379--3.440]   type = 11.00 (SB11_A_0_l)   stellarity = 0.92   chisq2 = 1115.00   ODDS = 0.86   z_cluster = 0.228