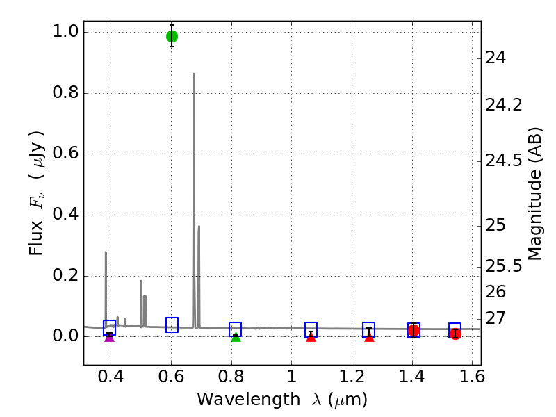
RXS0603+42-N IR detection object #1446

Color images and BPZ results
Catalog: 1446.cat
Black segments are analyzed here.   Roll mouse over color images to view segments.
Best viewed in a wide browser window (1200 pixels or more).   Download SED & P(z) plots to view larger versions.
In P(z) plots: Yellow lines mark the cluster redshift z = 0.228,  

Object #1446   x,y = (3826, 3120)   RA, Dec = (06:03:06.984, 42:16:24.96) = (90.77910, 42.27360)   BPZ = 0.026 [0.011--3.125]   type = 11.00 (SB11_A_0_l)   stellarity = 0.95   chisq2 = 190.70   ODDS = 0.68   z_cluster = 0.228