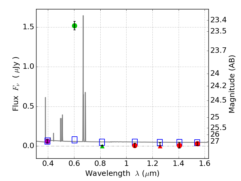
RXS0603+42-N IR detection object #1391

Color images and BPZ results
Catalog: 1391.cat
Black segments are analyzed here.   Roll mouse over color images to view segments.
Best viewed in a wide browser window (1200 pixels or more).   Download SED & P(z) plots to view larger versions.
In P(z) plots: Yellow lines mark the cluster redshift z = 0.228,  

Object #1391   x,y = (3822, 3137)   RA, Dec = (06:03:07.008, 42:16:26.04) = (90.77920, 42.27390)   BPZ = 0.022 [0.010--0.053]   type = 11.00 (SB11_A_0_l)   stellarity = 0.66   chisq2 = 196.80   ODDS = 0.98   z_cluster = 0.228