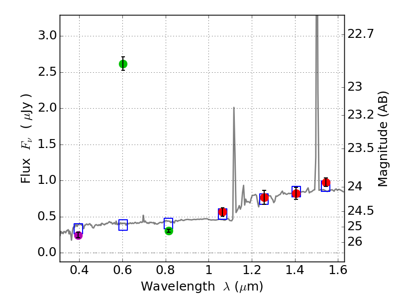
RXS0603+42-N IR detection object #1350

Color images and BPZ results
Catalog: 1350.cat
Black segments are analyzed here.   Roll mouse over color images to view segments.
Best viewed in a wide browser window (1200 pixels or more).   Download SED & P(z) plots to view larger versions.
In P(z) plots: Yellow lines mark the cluster redshift z = 0.228,  

Object #1350   x,y = (3794, 3129)   RA, Dec = (06:03:07.152, 42:16:25.32) = (90.77980, 42.27370)   BPZ = 1.996 [1.830--2.371]   type = 9.40 (SB2_B10 - SB3_B10)   stellarity = 0.84   chisq2 = 106.50   ODDS = 0.69   z_cluster = 0.228