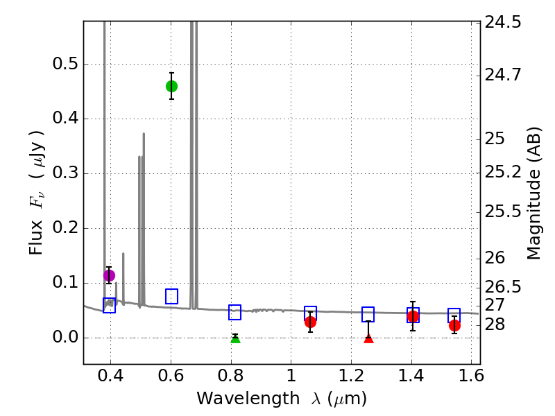
RXS0603+42-N IR detection object #1331

Color images and BPZ results
Catalog: 1331.cat
Black segments are analyzed here.   Roll mouse over color images to view segments.
Best viewed in a wide browser window (1200 pixels or more).   Download SED & P(z) plots to view larger versions.
In P(z) plots: Yellow lines mark the cluster redshift z = 0.228,  

Object #1331   x,y = (3736, 3168)   RA, Dec = (06:03:07.464, 42:16:27.84) = (90.78110, 42.27440)   BPZ = 0.020 [0.010--1.717]   type = 11.00 (SB11_A_0_l)   stellarity = 0.69   chisq2 = 72.22   ODDS = 0.95   z_cluster = 0.228